Mechatronics Portfolio - Nick Greco
HW 0x02: Term Project System Modeling

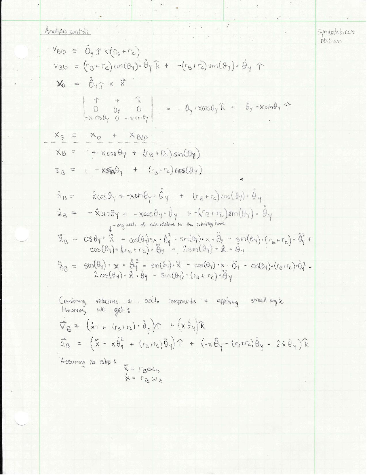
Summary

In this assignment, we were required to analyze and derive calculations from a given 4 body linkage. With the final goal being to relate motor speed to the tilt speed of the platform.

Hand Calculations

width = 50%
width = 50%
width = 50%
width = 50%
width = 50%
width = 50%